거절결정(특)
【전문】
【원 고】
【피 고】
특허청장
【변론종결】
2014. 5. 29.
【주 문】
1. 특허심판원이 2013. 9. 5. 2013원4197호 사건에 관하여 한 심결을 취소한다.
2. 소송비용은 피고가 부담한다.
【청구취지】
주문과 같다.
【이 유】
1. 기초사실
가. 원고의 출원발명
1) 발명의 명칭 : 연료 전지용 막-전극-단위를 조절하기 위한 방법(Method for conditioning membrane-electrode-units for fuel cells)
2) 우선권 주장일/ 국제출원일/ 번역문 제출일/ 출원번호 : 2005. 9. 10./ 2006. 9. 8./ 2008. 3. 7./ (출원번호 생략)
3) 특허청구범위(2013. 6. 4. 보정서에 의해 보정된 것) :
【청구항 12】
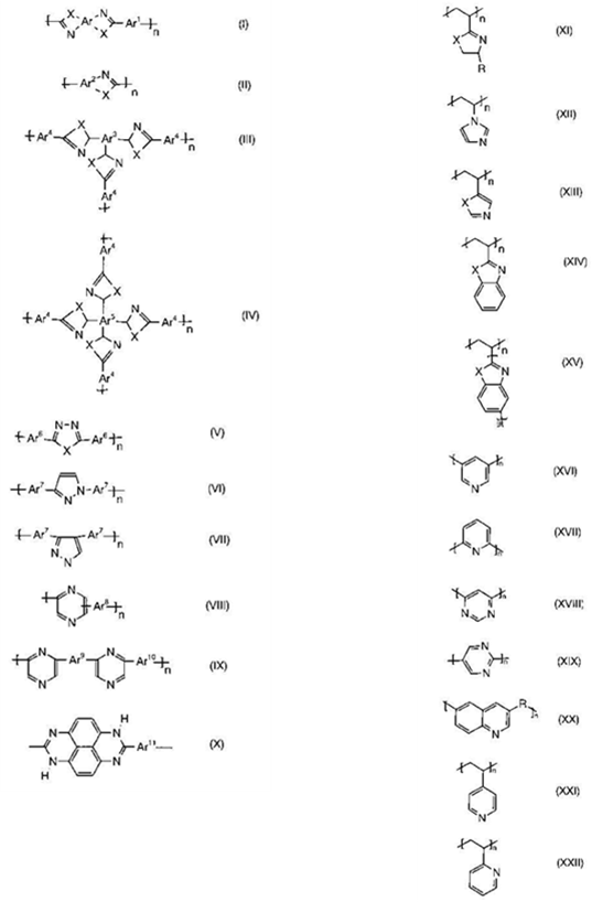
제9항에 있어서, 알칼리성 폴리머(polymer, 重合體)는 폴리아졸을 기초로 한 폴리머이며, 이러한 폴리머는 일반식 (I), (II), (III), (IV), (V), (VI), (VII), (VIII), (IX), (X), (XI), (XII), (XIII), (XIV), (XV), (XVI), (XVII), (XVIII), (XIX), (XX), (XXI) 및 (XXII)로 구성되는 군으로부터 선택된 하나 이상의 반복 아졸 단위를 함유하는 것을 특징으로 하는 방법.
이때 Ar은 같거나 다르며 단핵(mononuclear) 또는 다핵(polynuclear)일 수 있는 4가(tetravalent)의 방향족 또는 헤테로방향족 기이고, Ar¹은 같거나 다르며 단핵 또는 다핵일 수 있는 2가의 방향족 또는 헤테로방향족 기이고, Ar²는 같거나 다르며 단핵 또는 다핵일 수 있는 3가의 방향족 또는 헤테로방향족 기이고, Ar³는 같거나 다르며 단핵 또는 다핵일 수 있는 3가의 방향족 또는 헤테로방향족 기이고, Ar⁴는 같거나 다르며 단핵 또는 다핵일 수 있는 2가의 방향족 또는 헤테로방향족 기이고, 는 같거나 다르며 각각 단핵 또는 다핵일 수 있는 4가의 방향족 또는 헤테로방향족 기이고, 는 같거나 다르며 단핵 또는 다핵일 수 있는 2가의 방향족 또는 헤테로방향족 기이고, 는 같거나 다르며 단핵 또는 다핵일 수 있는 2가의 방향족 또는 헤테로방향족 기이고, 은 같거나 다르며 단핵 또는 다핵일 수 있는 2가의 방향족 또는 헤테로방향족 기이고, 는 같거나 다르며 단핵 또는 다핵일 수 있는 2가의 방향족 또는 헤테로방향족 기이고, 은 같거나 다르며 단핵 또는 다핵일 수 있는 2가의 방향족 또는 헤테로방향족 기이고, 은 같거나 다르며 단핵 또는 다핵일 수 있는 2가의 방향족 또는 헤테로방향족 기이고,
X는 같거나 다르며, 추가적인 라디칼로서 수소 원자, 1 내지 20 개의 탄소 원자를 갖는 기, 바람직하게는 분지(branched) 또는 비분지(unbranched) 알킬 또는 알콕시기, 또는 아릴기를 가지는, 산소, 황 또는 아미노기이고, R은 같거나 다르며 수소, 알킬기 및 방향족기이고, 단 구조식(XX)의 R은 수소가 아니며, 및 n, m은 각각 10과 같거나 큰 정수이며, 폴리머의 점도는 0.3 내지 10dl/g이다.
【나머지 청구항】
: [별지] 원고의 출원발명의 특허청구범위와 같다(이하, 원고의 출원발명을 ‘이 사건 출원발명’이라 하고, 이 사건 출원발명의 청구항 제1항을 ‘이 사건 제1항 발명’이라 하고, 나머지 청구항도 같은 방식으로 특정한다).
나. 이 사건 심결의 경위
1) 원고의 이 사건 출원발명에 대하여, 특허청 심사관은 2012. 12. 31. 이 사건 제2, 3, 12항 발명에는 ‘특히’, ‘특히 바람직하게는’, ‘매우 특히 바람직하게는’, ‘바람직하게는’, ‘ 및/또는’이라는 불명확한 표현을 사용하고 있고, 하나의 청구항에 다중으로 수치를 한정하고 있으며, 이 사건 제12항 발명에는 ‘Ar²는 … 2가 또는 3가의 방향족’, ‘Ar⁴는 … 3가의 방향족’ … 이라고 기재되어 있으나, 일반식 Ⅱ, Ⅲ, Ⅶ, XI에는 Ar²는 3가, Ar⁴는 2가로 … 상이하게 기재되어 있고, n 및 m의 수치를 한정하고 있는 정수의 상한이 불명확하므로, 이 사건 제2, 3, 12항 발명 등은 명확하고 간결하게 기재되어 있지 않다는 이유로 의견제출통지를 하였다.
2) 원고는 2013. 2. 21. 명세서 등 보정서를 제출하였으나, 특허청 심사관은 2013. 5. 30. 이 사건 제12항 발명은 ‘바람직하게는’이라는 불명확한 표현을 사용하고 있고, ‘n, m은 각각 10과 같거나 큰, 바람직하게는 100과 같거나 큰 정수’라고 기재하여, 하나의 청구항에 다중으로 수치 범위를 한정하고 있어, 발명이 명확하고 간결하게 기재되어 있지 않아 여전히 2012. 12. 31. 의견제출통지서의 거절이유를 해소하지 못하였으므로, 이 사건 출원발명은 특허법 제42조 제4항 제2호의 요건을 충족하지 못하여 특허를 받을 수 없다는 취지로 이 사건 등록거절결정을 하였다.
3) 원고는 2013. 6. 3. 특허심판원 2013원4197호로 이 사건 거절결정의 취소를 구하는 심판을 청구하고, 같은 달 4. 특허청구범위를 ‘n, m은 각각 10과 같거나 큰, 바람직하게는 100과 같거나 큰 정수’ 부분을 ‘n, m은 각각 10과 같거나 큰 정수’로 보정하는 심사전치보정을 하였다. 그러나 특허청 심사관은 2013. 7. 30. 이 사건 제12항 발명에 발명의 구성을 불명확하게 하는 ‘바람직하게는’이라는 표현이 삭제되지 아니하였으므로, 당초의 거절이유가 해소되지 않았다는 이유로 이 사건 등록거절결정을 유지하였다.
4) 특허심판원은 2013. 9. 5. 이 사건 제12항 발명은 이중한정을 나타내는 ‘바람직하게는’이라는 표현을 사용하여 한정하고 있어, X가 가질 수 있는 추가적인 라디컬이 ‘수소 원자, 1 내지 20개의 탄소원자를 갖는 기’ 전체인지, 아니면 그 중에서 바람직한 가치가 있다고 기재하고 있는 ‘분지 또는 비분지 알킬 또는 알콕시기, 또는 아릴기’인 일부만 가질 수 있는지 불명확하므로, 이 사건 제12항 발명 및 이를 인용하는 이 사건 13, 14항 발명은 청구하고자 하는 기술적 범위가 명확히 특정된 것으로 볼 수 없어 특허법 제42조 제4항 제2호의 규정을 충족하지 못하여 특허받을 수 없고, 특허출원에서 어느 하나의 청구항이라고 거절이유가 있으면 그 출원은 거절되어야 하므로, 원결정은 적법하다는 이유로 원고의 심판청구를 기각하는 이 사건 심결을 하였다.
[인정근거] 갑 1 내지 8, 36호증, 변론 전체의 취지
2. 당사자 주장의 요지 및 이 사건의 쟁점
가. 당사자 주장의 요지
1) 원고 주장의 이 사건 심결의 취소사유
가) 이 사건 제12항 발명에 기재된 폴리아졸계 폴리머는 이 사건 출원발명 출원 이전에 이미 공지된 것이고, 이러한 폴리아졸계 폴리머는 해당 기술분야에서 통상의 지식을 가진 자(이하 ‘통상의 기술자’라 한다)에게 명확한 구성으로, 통상의 기술자가 이 사건 제12항 발명을 명확하게 이해하고 재현하는데 아무런 어려움이 없다. 또한 통상의 기술자는 ‘X’의 추가적인 라디칼이 수소 원자, 1 내지 20개의 탄소 원자를 갖는 기 또는 아릴기일 수 있고, 1 내지 20개의 탄소 원자를 갖는 기 중에서는 분지 또는 비분지 알킬 또는 알콕시기가 보다 더 적합함을 잘 알고 있을 것이므로, 이 사건 제12항 발명의 기재는 불명확하지 않다.
나) 원고가 이 사건 심판청구를 제기할 당시 청구서에는 이 사건 제12항 발명의 ‘바람직하게는’을 삭제하였다고 기재하였으나, 2013. 6. 4자 보정서에는 착오로 ‘바람직하게는’이 기재되어 있어, 불복심판청구서와 보정서의 내용이 일치하지 않게 되었는데, 특허심판단계에서는 명세서 등 보정기회를 다시 부여할 여지가 있으므로, 이러한 불일치에 대해 출원인의 의도를 확인하는 등의 조치를 취하거나 이 사건 제12항 발명의 ‘바람직하게는’ 이라는 표현은 모두 삭제된 것으로 판단했어야 함에도, 이 사건 심결은 이러한 조치를 취하여 아니하여 위법하다.
다) 이 사건 제12항 발명의 기재에 있어서 ‘X’에 대한 설명 부분이 불명확하여 이 사건 제12항 발명이 기재불비에 해당한다는 취지의 피고의 주장은 심사·심판단계에서 전혀 다루어지지 않은 새로운 거절이유에 해당하는 것이어서 이 사건 소송에서 심리·판단될 수 없다.
2) 피고 주장의 요지
가) 이 사건 제12항 발명의 추가적인 라디칼이 ‘수소 원자, 1 내지 20개의 탄소 원자를 갖는 기’ 전체를 범위로 하는지 아니면 바람직한 가치가 있는 ‘분지 또는 비분지 알킬 또는 알콕시기’인 일부만을 범위로 하는지 명확하지 않다.
나) 원고가 이 사건 심판청구서와 별도로 2013. 6. 4. 보정서를 제출하였으므로, 심판청구인은 보정의 의사와 그 내용을 보정서를 제출하는 행위에 의해 객관적으로 나타낸 것으로 볼 수 있고, 그와 별도로 이 사건 심판청구서에 나타난 내용을 감안해야 하는 것은 아니므로, 보정서의 내용을 바탕으로 판단한 이 사건 심결은 정당하다.
다) 이 사건 제12항 발명의 ‘바람직하게는’을 예시적인 의미로 보더라도, ‘X는 같거나 다른 산소, 황 또는 아미노기이며, X가 가지는 추가적 라디칼은 수소 원자, 1 내지 20개의 탄소 원자를 갖는 기, 바람직하게는 분지 또는 비분지 알킬 또는 알콕시기 또는 아릴기’인 것으로 해석되므로, X는 그 자체로 산소, 황 또는 아미노기이며 추가적인 라디칼을 갖는 것인데, 아졸 화합물의 구조상 산소 또는 황의 경우 추가적인 라디칼을 가질 수 없으므로, ‘바람직하게는’ 부분의 의미를 생략하더라도 이 사건 제12항 발명은 통상의 기술자가 명확하게 이해하고 재현할 수 있는 것이 아니므로, 특허법 제42조 제4항 제2호의 규정을 충족시키지 못한다.
나. 이 사건의 쟁점
당사자의 주장을 통해 정리되는 이 사건의 쟁점은 ① ‘바람직하게는’이라는 기재로 인해 이 사건 제12항의 청구범위를 특정하기 어렵고, 이중한정으로 불명확하게 되었는지 여부, ② 이 사건 제12항 발명에서 'X'에 대한 설명 부분이 불명확하다는 사유를 이 사건 소송에서 심리·판단할 수 있는지 여부, ③ 원고가 제출한 심판청구서와 2013. 6. 4.자 보정서 중 무엇을 기준으로 보정을 판단해야 하는지 여부인바, 이하에서는 쟁점 ①, ②를 먼저 살펴보기로 한다.
3. 이 사건 심결의 적법 여부
가. 이 사건 제12항 발명의 특허청구범위의 기재가 불명확한 것인지 여부
1) 이 사건 제12항 발명의 기술적 특징
이 사건 제12항 발명은 이 사건 제1항 및 제9항 발명을 직·간접적으로 부가하거나 한정하는 종속항으로, 이 사건 제9항 발명의 알칼리성 폴리머를 ‘폴리아졸을 기초로 한 폴리머이며, 이러한 폴리머는 일반식 (I), (II), (III), (IV), (V), (VI), (VII), (VIII), (IX), (X), (XI), (XII), (XIII), (XIV), (XV), (XVI), (XVII), (XVIII), (XIX), (XX), (XXI) 및 (XXII)로 구성되는 군으로부터 선택된 하나 이상의 반복 아졸 단위를 함유하는 것’으로 한정하는 것이고, 이 사건 제9항 발명은 이 사건 제1항 발명의 폴리머 전해질 매트릭스를 ‘알칼리성 폴리머이고 질소, 산소 및/또는 황의 그룹으로부터 선택된 하나 이상의 헤테로 원자를 갖는 하나 이상의 폴리머를 함유하는 것’으로 한정하고 있다. 따라서 이 사건 제12항 발명은 폴리머 전해질 매트릭스를 구성하는 알칼리성 폴리머가 질소, 산소 및/또는 황의 그룹으로부터 선택된 하나 이상의 헤테로 원자를 갖는 하나 이상의 폴리머를 함유하는 것이고, 알칼리성 폴리머가 폴리아졸을 기초로 한 폴리머이며 이러한 폴리머의 반복 단위가 일반식 (I) 내지 (XXII)의 반복 아졸 단위 것으로 정의하고 있으며, 반복 아졸 단위인 일반식 (I) 내지 (XXII)에서 치환기 X의 정의는 ‘같거나 다르며, 추가적인 라디칼로서 수소 원자, 1 내지 20 개의 탄소 원자를 갖는 기, 바람직하게는 분지(branched) 또는 비분지(unbranched) 알킬 또는 알콕시기 또는 아릴기를 가지는, 산소, 황 또는 아미노기’이다.
2) 특허청구범위에 기재된 ‘바람직하게는’이라는 표현으로 이 사건 제12항 발명이 명확하지 않게 되었는지 여부
가) 판단근거
특허출원서의 발명의 상세한 설명에는 통상의 기술자가 그 발명을 쉽게 실시할 수 있도록 그 발명의 목적, 구성, 작용 및 효과를 명확하고 상세하게 기재하여야 하고, 특허청구범위에는 보호를 받고자 하는 사항을 기재한 항을 명확하고 간결하게 기재하여야 하며, 발명의 상세한 설명에 의해 뒷받침되어 있어야 하는바(특허법 제42조 제3, 4항 참조), 이와 같은 규정의 취지는 특허출원된 발명의 내용을 제3자에게 공표하여 그 기술적 범위를 명확하게 하기 위한 것이므로 특허출원 당시의 기술수준을 기준으로 하여 그 발명과 관련된 기술분야에서 평균적 기술능력을 가진 자라면 누구든지 출원된 발명의 내용을 명확하게 이해하고 이를 재현할 수 있는 정도의 기재가 있으면 충분하다 할 것이고, 특허발명의 범위는 특허청구범위에 기재된 것 뿐 아니라 발명의 상세한 설명과 도면의 간단한 설명의 기재 전체를 일체로 하여 그 발명의 성질과 목적을 밝히고 이를 참작하여 그 발명의 범위를 실질적으로 판단하여야 할 것이므로 특허출원된 발명의 내용이 통상의 기술자에 의하여 용이하게 이해되고 재현될 수 있다면 부분적으로 불명확한 부분이 있다고 하더라도 적법한 청구범위의 기재라고 보아야 할 것이다(대법원 1995. 10. 13. 선고 94후944 판결 등 참조). 또한 특허청구범위에 기재된 사항은 발명의 상세한 설명이나 도면 등을 참작하여야 그 기술적인 의미를 정확하게 이해할 수 있으므로, 특허청구범위에 기재된 사항의 해석은 그 문언의 일반적인 의미내용을 기초로 하면서도 발명의 상세한 설명 및 도면을 참작하여 그 문언에 의하여 표현하고자 하는 기술적 의의를 고찰한 다음 객관적·합리적으로 하여야 한다(대법원 2007. 11. 29. 선고 2006후1902 판결 등 참조).
나) 판단
(1) 이 사건 제12항 발명의 특허청구범위에는 ‘추가적인 라디칼로서 수소 원자, 1 내지 20개의 탄소 원자를 갖는 기, 바람직하게는 분지(branched) 또는 비분지(unbranched) 알킬 또는 알콕시기 또는 아릴기를 가지는, 산소, 황 또는 아미노기’라고 기재하고 있어, ‘바람직하게는’이라는 표현을 사용하고 있다.
(2) 한편, 이 사건 출원발명은 막 전극 어셈블리를 조절하는 방법에 관한 것으로서, 그 명세서에는 본 발명은 하나 이상의 헤테로 원자를 갖는 하나 이상의 폴리머를 함유하는 하나 이상의 폴리머 전해질 매트릭스 및 두 개 이상의 전극을 함유한 막 전극 어셈블리가 60~300°C 범위에서 폴리머 전해질 매트릭스 및 전극의 적층(lamination) 후에 조절되는 것에 그 특징이 있고(갑 제2호증 5, 6면 식별번호 [19], [20], [21] 참조), 이때 조절될 수 있는 막 전극 어셈블리는 하나 이상의 폴리머 전해질 매트릭스를 함유하며, 폴리머는 바람직하게 알칼리성 폴리머이고, 알칼리성 폴리머는 하나 이상의 질소 원자를 포함하는 폴리머가 바람직하며, 이러한 폴리머는 해당 분야에 공지되어 있는데 일반적으로 백본 및/또는 측쇄에 하나 이상의 질소 원자를 갖는 폴리머가 사용될 수 있다(갑 제2호증 8면 식별번호 [32~35]). 그리고 ‘X’는 같거나 다르며 산소, 황 또는 수소 원자를 갖는 아미노기, 1 내지 20개의 탄소 원자를 갖는 기, 바람직하게는 가지달린(branched) 또는 가지없는(unbranched) 알킬 또는 알콕시기 또는 추가적인 라디칼로서 아릴기(갑 제2호증 15면 식별번호 [58])라고 기재되어 있고, 이 사건 제12항 발명의 청구항에는 폴리머로서 폴리아졸을 기초로 한 폴리머를 사용하는 것으로 한정하고 있으며, 이때 폴리아졸을 기초로 한 폴리머를 반복 아졸 단위의 일반식으로 기재하고 있다. 또한, 갑 제9 내지 12호증의 각 기재에 변론 전체의 취지를 더하여 보면, 이 사건 제12항 발명에 기재된 일반식 (I) 내지 (XXII)의 반복 아졸 단위 및 이와 같은 반복 아졸 단위를 포함하는 폴리아졸계 폴리머와 동일한 구성들이 이미 이 사건 출원발명의 우선권 주장일 이전에 개시되어 있고, 특히 반복 아졸 단위를 구성하는 치환기 ‘X’에 관해서는 'X는 같거나 다르며, 산소, 황 또는 아미노기를 나타내며, 이는 추가 라디칼로서 하나의 수소 원자, 탄소수 1 내지 20인 기, 바람직하게는 분지 또는 비분지 알킬, 알콕시기 또는 아릴기를 갖고‘라고 유사하게 기재된 사실을 인정된다. 따라서 이 사건 출원발명을 접한 통상의 기술자라면 이 사건 제12항 발명에 기재된 치환기 ’X‘의 추가적인 라디칼이 수소 원자, 1 내지 20개의 탄소 원자를 갖는 기 또는 아릴기일 수 있고, 1 내지 20개의 탄소 원자를 갖는 기 중에서는 분지 또는 비분지된 알킬 또는 알콕시기가 더 바람직하다는 내용의 기재임을 이해하고, 이를 재현하는데 별다른 어려움이 없을 것으로 판단된다.
(3) 그러나, 피고는 이 사건 제12항 발명의 ‘바람직하게는’이라는 기재는 특허권의 보호범위를 이중으로 제시하는 기재여서 특허청구범위를 불명확하게 하고, ‘바람직하게는’이라는 기재에 의해 이 사건 제12항 발명의 반복 아졸 단위를 구성하는 치환기 ‘X’가 ‘추가적인 라디칼로서 수소 원자, 1 내지 20개의 탄소 원자 또는 아릴기를 가지는 산소, 황 또는 아미노기’를 의미하는 것인지, ‘추가적인 라디칼로서 수소 원자, 1 내지 20개의 탄소 원자의 분지 또는 비분지 알킬 또는 알콕시기 또는 아릴기를 가지는 산소, 황 또는 아미노기’를 의미하는 것인지 불명확하게 된다는 취지로 주장한다.
살피건대, 갑 제14, 15, 16, 29 내지 35호증의 각 기재에 변론 전체의 취지를 더하여 보면, ‘바람직하게는’이라는 단어의 사전적 의미는 ‘바랄 만한 가치가 있다’는 의미의 부사어로 일반적으로 널리 사용되고 있고, 1979. 1. 1.이후 특허청구범위에 ‘바람직하게는’이라는 용어가 포함된 등록특허의 수가 3,000건을 초과하고 있는 사실, 이 사건 출원발명의 미국과 유럽의 대응특허의 출원과정에서 ‘바람직하게는’에 대응되는 'preferably'라는 단어 자체가 불명확하다는 이유로 보정명령을 받지는 않았고, 유럽 대응특허는 'preferably'가 기재된 채로 2011. 8. 17. 제1927151호로 등록된 사실이 인정되는바, ‘바람직하게는’이 특허청구범위에 사용되더라도 그 자체로 의미가 불명확하다고 볼 수는 없다. 또한, ‘바람직하게는’이라는 단어의 의미와 위 (2)항에서 살펴본 이 사건 출원발명의 명세서의 기재, 이 사건 출원발명의 출원 전에 공지된 선행기술들의 내용(갑 제9 내지 13호증) 등을 종합해보면, 이 사건 제12항 발명의 ‘1 내지 20개의 탄소 원자를 갖는 기, 바람직하게는 분지 또는 비분지된 알킬 또는 알콕시기’라는 기재를 본 통상의 기술자라면 ‘바람직하게는’을 기준으로 앞쪽 부분인 ‘1 내지 20개의 탄소 원자를 갖는 기’가 그 뒤쪽 부분인 ‘분지 또는 비분지된 알킬 또는 알콕시기’를 포함하는 넓은 개념으로서, ‘분지 또는 비분지된 알킬 또는 알콕시기’는 앞서 기재된 ‘1 내지 20개의 탄소 원자를 갖는 기’의 예를 나타낸 기재임을 쉽게 파악할 수 있고, 이 사건 제12항 발명의 권리범위가 ‘바람직하게는’의 앞에 기재된 부분과 ‘바람직하게는’ 뒤에 기재된 부분을 모두 포함하여 이중한정하는 것으로 이해되지는 않을 것이다. 결국 피고의 주장은 이유 없다.
3) 소결론
따라서, 비록 ‘바람직하게는’이라는 표현이 특허청구범위에 사용되었지만, 그 의미가 특허의 명세서의 상세한 설명에 의해 명확히 뒷받침되고, 발명의 특정에 문제가 없으므로, 이 사건 제12항 발명의 청구항이 명확히 기재되지 않았다고 볼 수 없다.
나. 피고가 이 사건 심결에서 판단되지 아니한 새로운 거절이유를 주장할 수 있는지 여부
1) 판단근거
특허출원에 대한 심사 단계에서 거절결정을 하려면 그에 앞서 출원인에게 거절이유를 통지하여 의견제출의 기회를 주어야 하고, 거절결정에 대한 특허심판원의 심판절차에서 그와 다른 사유로 거절결정이 정당하다고 하려면 먼저 그 사유에 대해 의견제출의 기회를 주어야만 이를 심결의 이유로 할 수 있다(특허법 제62조, 제63조, 제170조 참조). 위와 같은 절차적 권리를 보장하는 특허법의 규정은 강행규정이므로, 의견제출의 기회를 부여한 바 없는 새로운 거절이유를 들어서 거절결정이 결과에 있어 정당하다는 이유로 거절결정불복심판청구를 기각한 심결은 위법하다. 같은 취지에서 거절결정불복심판청구 기각심결의 취소소송절차에서도 특허청장은 심사 또는 심판 단계에서 의견제출의 기회를 부여한 바 없는 새로운 거절이유를 주장할 수 없다고 보아야 한다(대법원 2000. 1. 14. 선고 97후3494 판결, 대법원 2003. 10. 10. 선고 2001후2757 판결, 대법원 2013. 9. 26. 선고 2013후1054 판결 등 참조). 위와 같이 의견서 제출의 기회를 주는 취지는, 특허의 대상인 발명은 자연법칙을 이용한 신규성 있는 고도의 기술적 사상의 창작을 말하는 것이므로 특허받을 수 있는 발명에 해당하는지 여부의 판단에는 고도의 전문지식을 요하고 심사관이라 하여 그와 같은 지식을 두루 갖출 수는 없으므로 이로 인한 과오를 예방하고, 또 출원인에게 설명하여 선원주의제도에서 야기되기 쉬운 과오를 보정할 기회도 주지 않고 곧바로 특허거절결정을 하는 것은 출원인에게 지나치게 가혹하다는 데 있다 할 것이다(대법원 2001. 5. 29. 선고 98후515 판결).
2) 판단
이 사건 출원발명의 심사과정에서 이 사건 제12항 발명과 관련하여 특허청 심사관의 거절이유와 이 사건 심결에서의 거절이유(이하 통틀어 ‘거절이유 ①’이라 한다)는 ‘바람직하게는’이라는 표현이 불명확하고, 구체적으로는 이중한정을 나타내는 ‘바람직하게는’이라는 표현을 사용하여 한정하고 있어, 치환기 ‘X’가 가질 수 있는 추가적인 라디칼이 ‘수소 원자, 1 내지 20개의 탄소 원자를 갖는 기’인지, 아니면 그 중에서 바람직한 가치가 있다고 기재된 ‘분지 또는 비분지 알킬 또는 알콕시기 또는 아릴기’인 일부만 가질 수 있는지 불명확하다는 것이나, 피고는 이 사건 소송에 이르러 치환기 ‘X‘는 추가적인 라디칼로서 산소 또는 황을 가질 수 없으므로 'X'의 의미가 불명확하여 통상의 기술자가 명확하게 이해할 수 없고, 이 사건 제12항 발명은 특허법 제42조 제4항 제2호에 위배되어 결과적으로 이 사건 출원발명에 대한 거절결정이 정당하다고 한 이 사건 심결이 적법하다(이하 ’거절이유 ②‘라 한다)는 취지로 주장한다.
위 거절이유 ①, ②는 이 사건 제12항 발명이 특허법 제42조 제4항 제2호에 위배된다는 점에서는 차이가 없으나, 구체적인 내용을 살펴보면, 거절이유 ①은 '바람직하게는‘이라는 용어로 특허청구범위가 불명확하게 되었다는 것인데 반해, 거절이유 ②는 이 사건 제12항 발명에서의 ‘X’는 특허청구범위의 기재에 의하면, 산소, 황 또는 아미노기이며 추가적인 라디칼을 갖는 것으로 이해되지만, 아졸 화합물의 구조상 산소 또는 황의 경우 추가적인 라디칼을 가질 수 없으므로, ‘바람직하게는’ 부분의 의미를 생략하더라도 통상의 기술자가 ‘X’의 의미를 명확하게 이해하고 재현할 수 없다는 점에 차이가 있다.
또한 앞서 살펴본 법리와 같이 거절이유를 통지하는 이유가 출원인에게 의견제출의 기회와 보정의 기회를 주어 거절이유를 해소할 수 있도록 하는데 있다는 점에 비추어보면, 거절이유 ①, ②의 위와 같은 공통점에도 불구하고, 거절이유 ①, ②에 대한 출원인의 의견제출 내용이나 보정 내용이 완전히 달라질 수 있다는 점에서 볼 때, 거절이유 ②는 이 사건 등록거절결정의 이유인 거절이유 ①과는 다른 새로운 거절이유로서 심결에서 판단되지도 않은 것으로 보아야 하고, 거절이유 ②가 거절이유 ①과 주요한 취지가 부합되거나, 이미 원고에게 통지된 거절이유 ①을 보충하는데 지나지 않는다고 볼 수 없다. 더구나, 이 사건 제12항 발명에서의 'X'가 추가적인 라디칼로서 ‘수소 원자, 1 내지 20개의 탄소 원자 또는 아릴기를 갖는 기’를 갖는 산소나 황인 경우에는 아졸 단위를 형성할 수 없음이 통상의 기술자에게 자명한 것으로, 출원인인 원고에게 보정의 기회가 주어졌다면 이 사건 제12항 발명의 해당부분을 이 사건 출원발명의 상세한 설명(갑 제2호증 15면 식별번호 [58])이나 이 사건 출원발명의 우선권 주장일 이전에 공지된 선행기술들(갑 제9 내지 13호증)의 대응구성과 같이 ‘X는 같거나 다르며 산소, 황 또는 수소 원자를 갖는 아미노기, 1 내지 20 탄소 원자를 갖는 기, 바람직하게는 분지 또는 비분지 알킬, 알콕시기 또는 추가적인 라디칼로서 아릴기이고’ 등과 같이 X의 의미를 명확하게 보정할 수도 있었을 것이고, 통상의 기술자에게 그와 같은 보정에 별다른 어려움이 있다고 보기도 어렵다.
3) 소결론
따라서 피고는 이 사건 출원발명의 특허등록이 거절되어야 하는 이유로 이 사건 등록거절결정의 이유와 다른 새로운 거절이유로서 심결에서 판단되지 않은 것을 주장하고 있고, 새로운 거절이유가 등록거절결정의 이유와 주요한 취지가 부합되거나 그 등록거절결정의 이유를 보충하는 것으로 볼 수도 없어서, 새로운 거절이유에 대해 출원인인 원고에게 의견제출이나 보정의 기회를 부여할 필요가 있으므로, 이 법원은 이 부분에 대해 심리, 판단할 수 없다.
다. 이 사건 심결의 적법성
이 사건 제12항 발명은 특허법 제42조 제4항 제2호의 규정에 위반된 것이라 할 수 없고, 피고로서는 심사 또는 심판단계에서 의견제출의 기회를 부여한바 없는 새로운 거절이유를 심결취소소송 단계에서 주장할 수 없는 것이므로, 이 사건 심결은 더 나아가 살펴볼 필요 없이 위법하다.
4. 결 론
그렇다면, 이 사건 심결의 취소를 구하는 원고의 청구는 이유 있으므로, 이를 인용하기로 하여 주문과 같이 판결한다.





